Paul [1176287] —
Original article
[Vol. I, Issue III] Studies include: ELO & its future (+ bogie's input), the importance of weapon damage, fair fight ratio derived, and effect of drugs on your employee effectiveness
Our distinguished Torn Scientists and Researchers at the Journal of Torn Science have been working fervently on answering several essential questions. What is the new Elo statistic, and what are its potential uses? How consequential is a weapon’s damage? Is the Fair Fight ratio something that can be quantified for our advantage? Finally, what is your drug intake doing to your employee effectiveness?
In this issue of JTS, we provide summaries of our findings to these questions. If you’d like to read more, a link to the study’s comprehensive results and findings is provided.
Elo, is it me you’re looking for? - Vladar [1996140]
Avid readers of Ched’s weekly announcements (link) may have noticed that on January 26th, a new rating was sneakily introduced called ELO. “What the hell is that and why should I care” you might ask? ELO is a rating system commonly used in games such as Chess that is intended to measure your skill in relation to other players. In Torn, this will, in the simplest terms, be a relative measure of how often you win attacks compared to how often you lose attacks.
Everyone starts with a base rating of 1000. Winning fights takes ELO from your opponent and gives it to you, and losing fights does the opposite (stalemates and escapes result in no change). The higher your ELO is in comparison to an opponent, the less you will gain for a win, and the more you will lose for a loss. We could bore you to death with details, but instead, we just made a pretty picture for you to look at:

Pictured: Due to rounding, any opponent more than 511 below your ELO rating will result in no gain.
The implication of this is that if all you do is farm inactive players, your ELO rating will suffer. But why should you even care? Well, as of now, ELO is just an e-peen measurement tool, but in the future, JTS researchers propose its use could be applicable to all of the following areas: merits, team balancing in elimination, ranked warfare, a new king of the hill competition, faction applications (chaining ability indicator), and a new player title.
This is all speculation. Therefore, we asked our Community Manager, bogie, for his take on what ELO could be used for the long-term. This was his response.

Pictured above: actual response to the question of ELO. Does this have something to do with $ @ |\| |) ¥ |_ 0 @ /\/\ ?
Only time will tell whether ELO is used for anything other than a **** measuring contest. One thing is for certain, we now know how ELO is calculated and how you, as a player, can increase this statistic.
Elo calculator is now available through Torn Stats 2.0 beta!
Importance of Weapon Damage - Proxima [1879587]
Every weapon has a Damage Stat which you can view by clicking it in your inventory. Several education courses and job specials claim to boost your weapon's damage by something like 10%, a buff that some people incorrectly assume will apply directly and exactly to the amount of damage dealt towards an opponent. This is not the case.
First, let's explain how damage stats work, and how they are calculated. Every weapon is generated with an Intrinsic Damage value, which is then used to generate two further values.

The way these values are calculated is complicated, but you can read precisely how it's done here. To use the example of the Macana, its Intrinsic Damage value is 138, but the value displayed as its visible Damage Stat is just 57.33. When we want to know how much a weapon truly hurts someone, it is the Damage Multiplier we need to calculate.
In this example, my Macana's Damage Multiplier is 5.93. This means that if you were dealing 100 damage with your Fists to your opponent, you would deal 593 damage with this particular Macana. Below you can see a graph that shows how the Damage Stat displayed on a weapon relates to its eventual Damage Multiplier.

It is important to know all this if you are to understand how passive bonuses to certain weapons work. There are a number of percentage boosts that are provided to certain weapons by company specials and educations. However, these bonuses apply directly to the Intrinsic Damage value of a weapon, not the Damage Stat or Damage Multiplier.
For example, weapon experience provides a 25% bonus to damage when you reach 100% XP. However, this is applied intrinsically, resulting in a final damage boost of closer to 2-3% for most common weapons. So whereas someone might logically conclude that a 25% boost to a 593 Macana attack would give you a figure of 741, the true value would be 615. Weapon bonuses may therefore be less effective than you think.
Here are a few questions and answers related to this topic:
Q. It seems like the importance of the damage statistic is lost when people who trade weapons use the “total stats” metric. Is this a good metric to use or is there something better?
Just using “total stats” is stupid. That would imply there is no difference between Accuracy or Damage, their importance, or their mechanics. Shameless plug: ProxiQuality, named so because Chedburn decided to release “Quality” after I already named my metric Quality (cries), combines weapon stats in a meaningful way. Calculate yours using: https://beta.tornstats.com/proxiquality
Q. Where do weapon mods come into all of this? Should the mods that a player owns be factored into a weapon purchase? Are there circumstances where you’d select a specific mod over another based solely on a weapon’s stats?
Laser + Light all the way. There isn’t really a combo that compares to the power of extra crits and an OP reduction of your opponent's Accuracy, so nothing else worth discussing there IMO.
Q. Finally, the average player may just be learning about this all right now and want to re-evaluate their arsenal. Are there specific weapons that you’d recommend? Of these, is there a specific damage value that they should seek out for each weapon?
The meta is quite stale at the moment sadly, hopefully, it can be revitalized in the future. Gold Plated AK-47 (any) / ArmaLite (70.5+) / Enfield (64+) depending on your monetary situation. DBK (61+) or Macana (58+) (DBK > Macana on average but there is a lot of overlap so either is fine, and it may be that your specific build demands Acc > Dmg). Don’t waste time on Secondaries unless it’s for the lulz.
Fair Fight Ratio Derived - Fr00t [2518990]
The Fair Fight bonus is a multiplier applied to the respect your faction earns during every attack. Until now, it was unclear which variables (opponent level, stats, activity, etc.) would maximize the amount of respect gained from an attack. Now we know.
We have uncovered that this multiplier is solely contingent upon the battle stats of both you and your opponent. Each player has their own battle stat score (BS Score).

The battle stat score for the attack and defender is therefore used in the calculation of the fair fight ratio (FF).

Given this information, the following conclusions can be made:
- The lowest FF multiplier you can receive is: 1 (These circumstances require the attacker to have significantly more stats than the defender)
- The highest FF multiplier you can receive is: 3 (These circumstances require the attacker to have at most 77% higher stats than the defender)
At more than 1.4B balanced stats, a defender will always yield a FF multiplier of 3. In short, to maximize your faction’s respect gain, it is always in your best interest to attack players similar to you in battle stats. A quick way to identify these targets is to create an index of your mission targets - they are often assigned based on your BS score.
Addiction Quantified - a Study on Employee Effectiveness - KingLouisCLXXII [2070312]
The recent addition of employee effectiveness numbers has upended some of the more competitive player-owned companies such as 10* ANs and Farms. This update has allowed directors to see what the base effectiveness of an employee is and how drug addiction impacts their working stats, and in turn, led to many directors mandating specific rehab targets such as rehabbing at or before -12 to working stats.
Now it appears that Chedburn has upended things again with the introduction of a new merit tree called "addiction mitigation." This tree reduces the negative effects of addiction (not drug cooldown). It lowers the negative Passive battle stat and Employee effectiveness modifiers, while also increasing the amount of addiction you can have before you lose Gym & Education access.
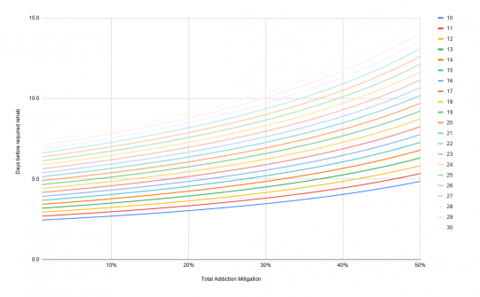
This study focused on addiction mitigation’s effect on employee effectiveness. There are two ways to increase your addiction mitigation: the side effects faction upgrade(under the toleration branch), which adds a max of 30% addiction mitigation, and the addiction mitigation merit branch, which adds a max of 20% addiction mitigation for a total of 50% addiction mitigation.

Pictured: This graph shows that addiction mitigation merits are more beneficial to players whose directors allow higher levels of addiction. Larger graph available here.
WIth 10 merits in addiction, a player whose director requires rehab at 10 addiction can only go an additional day and a half(3.5 vs. 4.8) without rehabbing. In contrast, a player whose director requires rehab at 30 addiction can go an additional 4 days(10.4 vs. 14.5) without rehabbing. These are the two most extreme cases, so most players will fall somewhere in the middle.
TLDR; addiction mitigation has a greater effect (therefore, more worthwhile) the longer you go between rehabs.
Concluding Thoughts
Questions about the studies presented in this article? Feel free to make a post in the forum guide linked in this study! Finally, a major thank you to all of the JTS researchers - their time and contribution to these studies, as well as the studies ongoing, are genuinely appreciated.
In this issue of JTS, we provide summaries of our findings to these questions. If you’d like to read more, a link to the study’s comprehensive results and findings is provided.
Elo, is it me you’re looking for? - Vladar [1996140]
Avid readers of Ched’s weekly announcements (link) may have noticed that on January 26th, a new rating was sneakily introduced called ELO. “What the hell is that and why should I care” you might ask? ELO is a rating system commonly used in games such as Chess that is intended to measure your skill in relation to other players. In Torn, this will, in the simplest terms, be a relative measure of how often you win attacks compared to how often you lose attacks.
Everyone starts with a base rating of 1000. Winning fights takes ELO from your opponent and gives it to you, and losing fights does the opposite (stalemates and escapes result in no change). The higher your ELO is in comparison to an opponent, the less you will gain for a win, and the more you will lose for a loss. We could bore you to death with details, but instead, we just made a pretty picture for you to look at:

Pictured: Due to rounding, any opponent more than 511 below your ELO rating will result in no gain.
The implication of this is that if all you do is farm inactive players, your ELO rating will suffer. But why should you even care? Well, as of now, ELO is just an e-peen measurement tool, but in the future, JTS researchers propose its use could be applicable to all of the following areas: merits, team balancing in elimination, ranked warfare, a new king of the hill competition, faction applications (chaining ability indicator), and a new player title.
This is all speculation. Therefore, we asked our Community Manager, bogie, for his take on what ELO could be used for the long-term. This was his response.

Pictured above: actual response to the question of ELO. Does this have something to do with $ @ |\| |) ¥ |_ 0 @ /\/\ ?
Only time will tell whether ELO is used for anything other than a **** measuring contest. One thing is for certain, we now know how ELO is calculated and how you, as a player, can increase this statistic.
Elo calculator is now available through Torn Stats 2.0 beta!
Importance of Weapon Damage - Proxima [1879587]
Every weapon has a Damage Stat which you can view by clicking it in your inventory. Several education courses and job specials claim to boost your weapon's damage by something like 10%, a buff that some people incorrectly assume will apply directly and exactly to the amount of damage dealt towards an opponent. This is not the case.
First, let's explain how damage stats work, and how they are calculated. Every weapon is generated with an Intrinsic Damage value, which is then used to generate two further values.
- Damage Stat (what you see under weapon stats)
- Damage Multiplier (applied to your final damage calculation)

The way these values are calculated is complicated, but you can read precisely how it's done here. To use the example of the Macana, its Intrinsic Damage value is 138, but the value displayed as its visible Damage Stat is just 57.33. When we want to know how much a weapon truly hurts someone, it is the Damage Multiplier we need to calculate.
In this example, my Macana's Damage Multiplier is 5.93. This means that if you were dealing 100 damage with your Fists to your opponent, you would deal 593 damage with this particular Macana. Below you can see a graph that shows how the Damage Stat displayed on a weapon relates to its eventual Damage Multiplier.

It is important to know all this if you are to understand how passive bonuses to certain weapons work. There are a number of percentage boosts that are provided to certain weapons by company specials and educations. However, these bonuses apply directly to the Intrinsic Damage value of a weapon, not the Damage Stat or Damage Multiplier.
For example, weapon experience provides a 25% bonus to damage when you reach 100% XP. However, this is applied intrinsically, resulting in a final damage boost of closer to 2-3% for most common weapons. So whereas someone might logically conclude that a 25% boost to a 593 Macana attack would give you a figure of 741, the true value would be 615. Weapon bonuses may therefore be less effective than you think.
Here are a few questions and answers related to this topic:
Q. It seems like the importance of the damage statistic is lost when people who trade weapons use the “total stats” metric. Is this a good metric to use or is there something better?
Just using “total stats” is stupid. That would imply there is no difference between Accuracy or Damage, their importance, or their mechanics. Shameless plug: ProxiQuality, named so because Chedburn decided to release “Quality” after I already named my metric Quality (cries), combines weapon stats in a meaningful way. Calculate yours using: https://beta.tornstats.com/proxiquality
Q. Where do weapon mods come into all of this? Should the mods that a player owns be factored into a weapon purchase? Are there circumstances where you’d select a specific mod over another based solely on a weapon’s stats?
Laser + Light all the way. There isn’t really a combo that compares to the power of extra crits and an OP reduction of your opponent's Accuracy, so nothing else worth discussing there IMO.
Q. Finally, the average player may just be learning about this all right now and want to re-evaluate their arsenal. Are there specific weapons that you’d recommend? Of these, is there a specific damage value that they should seek out for each weapon?
The meta is quite stale at the moment sadly, hopefully, it can be revitalized in the future. Gold Plated AK-47 (any) / ArmaLite (70.5+) / Enfield (64+) depending on your monetary situation. DBK (61+) or Macana (58+) (DBK > Macana on average but there is a lot of overlap so either is fine, and it may be that your specific build demands Acc > Dmg). Don’t waste time on Secondaries unless it’s for the lulz.
Fair Fight Ratio Derived - Fr00t [2518990]
The Fair Fight bonus is a multiplier applied to the respect your faction earns during every attack. Until now, it was unclear which variables (opponent level, stats, activity, etc.) would maximize the amount of respect gained from an attack. Now we know.
We have uncovered that this multiplier is solely contingent upon the battle stats of both you and your opponent. Each player has their own battle stat score (BS Score).

The battle stat score for the attack and defender is therefore used in the calculation of the fair fight ratio (FF).

Given this information, the following conclusions can be made:
- The lowest FF multiplier you can receive is: 1 (These circumstances require the attacker to have significantly more stats than the defender)
- The highest FF multiplier you can receive is: 3 (These circumstances require the attacker to have at most 77% higher stats than the defender)
At more than 1.4B balanced stats, a defender will always yield a FF multiplier of 3. In short, to maximize your faction’s respect gain, it is always in your best interest to attack players similar to you in battle stats. A quick way to identify these targets is to create an index of your mission targets - they are often assigned based on your BS score.
Addiction Quantified - a Study on Employee Effectiveness - KingLouisCLXXII [2070312]
The recent addition of employee effectiveness numbers has upended some of the more competitive player-owned companies such as 10* ANs and Farms. This update has allowed directors to see what the base effectiveness of an employee is and how drug addiction impacts their working stats, and in turn, led to many directors mandating specific rehab targets such as rehabbing at or before -12 to working stats.
Now it appears that Chedburn has upended things again with the introduction of a new merit tree called "addiction mitigation." This tree reduces the negative effects of addiction (not drug cooldown). It lowers the negative Passive battle stat and Employee effectiveness modifiers, while also increasing the amount of addiction you can have before you lose Gym & Education access.
This study focused on addiction mitigation’s effect on employee effectiveness. There are two ways to increase your addiction mitigation: the side effects faction upgrade(under the toleration branch), which adds a max of 30% addiction mitigation, and the addiction mitigation merit branch, which adds a max of 20% addiction mitigation for a total of 50% addiction mitigation.

Pictured: This graph shows that addiction mitigation merits are more beneficial to players whose directors allow higher levels of addiction. Larger graph available here.
WIth 10 merits in addiction, a player whose director requires rehab at 10 addiction can only go an additional day and a half(3.5 vs. 4.8) without rehabbing. In contrast, a player whose director requires rehab at 30 addiction can go an additional 4 days(10.4 vs. 14.5) without rehabbing. These are the two most extreme cases, so most players will fall somewhere in the middle.
TLDR; addiction mitigation has a greater effect (therefore, more worthwhile) the longer you go between rehabs.
Concluding Thoughts
Questions about the studies presented in this article? Feel free to make a post in the forum guide linked in this study! Finally, a major thank you to all of the JTS researchers - their time and contribution to these studies, as well as the studies ongoing, are genuinely appreciated.
JTS is a community of Torn’s leading scientists both in-game and IRL.
Here, at JTS, we study the features and components of the game that are hidden, unquantified, and interesting.
Here, at JTS, we study the features and components of the game that are hidden, unquantified, and interesting.
Original article
Comments
Post a Comment